Notes
Slide Show
Outline
1
Some Quantum States of electromagnetic fields
  • G.M. Abd Al-Kader
  •  Mathematics Department Faculty of Science
  • Al-Azhar University,
  • Nasr City 11884, Cairo, Egypt.
2
Abstract
  • The general classes of some quantum states are considered. Much  attention is given for the squeezed displaced Fock states (SDFS's).  The superpositions of these quantum states are reviewed.  The non-classical  properties of these states such as photon number distribution and  squeezing are discussed.   The s-ordered distribution functions of the  SDFS's are investigated.   Analytical and numerical results for the quadrature component  distributions for the superposition of a pair of SDFS's are presented. The  Pegg-Barnett (PB) phase distribution is given and compared with the  radial integration of the s-parameterized distribution function over the  phase space variable of SDFS's.
3
1. Introduction
  • The idea of light quanta was motivated by Max Planck's published law of black-body radiation ("On the Law of Distribution of Energy in the Normal Spectrum". Annalen der Physik 4 (1901)) by assuming that Hertzian oscillators could only exist at energies E proportional to the frequency f of the oscillator by E = hf, where h is Planck's constant.
4
"Albert Einstein's mathematical description in..."
  • Albert Einstein's mathematical description in 1905 of how it was caused by absorption of what were later called photons, or quanta of light, in the interaction of light with the electrons in the substance, was contained in the paper named "On a Heuristic Viewpoint  Concerning the Production and Transformation of Light". This paper proposed the simple description of "light quanta" (later called "photons") and showed how they could be used to explain such phenomena as the photoelectric effect.
5
"The simple explanation by Einstein..."
  • The simple explanation by Einstein in terms of absorption of single quanta of light explained the features of the phenomenon and helped explain the characteristic frequency. Einstein's explanation of the photoelectric effect won him the Nobel Prize of 1921.
  • The concept of the photon in the quantum theory of a radiation field has been built on the number (Fock) state |n> The number states are eigenstates of the field Hamiltonian of the harmonic oscillator and exhibit no phase information.
6
"The coherent state"
  • The coherent state, which is a linear superpositions of all |n> states with coefficients chosen such that the photon number distribution is Poissonian, has been extensively studied.
7
"In addition to coherent states"
  • In addition to coherent states, squeezed states are becoming increasingly important. Eversince their  initiation, squeezed states of the radiation field have received considerable attention, and afford a precision in measurements that transcends the limit that was previously held to exist. The squeezed state is one of the non-classical states of the electromagnetic field in which certain observables exhibit fluctuations less than in the vacuum state.
8
"Squeezed and displaced number states"
  • Squeezed and displaced number states   have been studied from the viewpoint of the standard and principal squeezing of vacuum fluctuations and of the photon statistics. These states generalize two-photon coherent states, squeezed number states, and displaced number states.
9
"Superposition of quantum-mechanical states of..."
  • Superposition of quantum-mechanical states of electromagnetic field have recently received much attention in quantum optics, since these states can exhibit non-classical properties of light, such as quadrature squeezing and sub-Poissonian photon statistics.  In particular, the  Schrödinger cat states,  are superpositions of distinguishable macroscopic quantum states of a single mode of the quantized electromagnetic field.
10
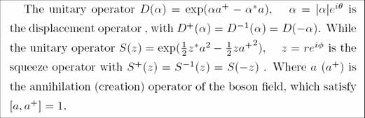
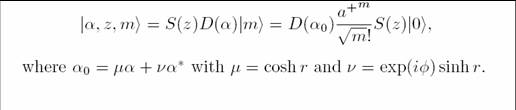
2. Definitions and Properties
  • The squeezed displaced Fock states  (SDFS) are defined  by


11
 
12
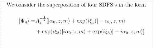
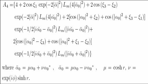
3. Superpositions of squeezed Displaced Fock states
13
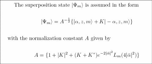
3.1. Superpositions of a pair of SDFS's
14
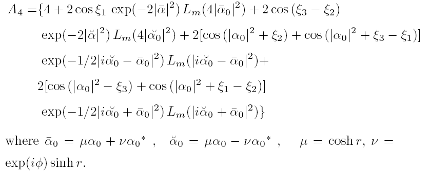
3.2. Four-component   SDFS's
15
 
16
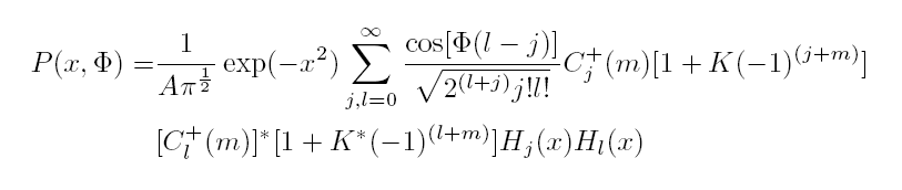
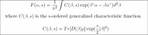
4. s-parameterized distribution functions for the SDFS's
  • We calculate the characteristic function (CF) of the  SDFS. According to Cahill and Glauber  [27] the  P ( Glauber-Sudarshan),   W ( Wigner ) and Q (Husimi  ) functions may be expressed  in an integral form
17
 
18
 
19
"and s is a parameter..."
  • and s is a parameter which defines the relevant quasiprobability distribution function. For s=1 we obtain the Glauber-Sudarshan P function, for s=0 we have the Wigner W-function, and for s=-1 , we get the Q function.
  • 4.1 s-parameterized QDF for the superposition of a pair of SDFS's
20
 
21
 
22
 
23
 
24
5. Non-classical properties
25
 
26
5.1  Squeezing
27
 
28
 
29
5.2 Quadrature distributions
30
6. Phase distribution
  • 6.1 Pegg-Barnett phase distribution




  • The Pegg-Barnett distribution  is normalized, such that



31
6.2 s-parameterized  phase distribution for SDFS's
32
 
33
 
34
Conclusions and Remarks
  • We have discussed the definitions and properties of the  SDFS's as a  generalized system of " number, coherent, squeezed coherent, squeezed number and displaced Fock " states. The matrix elements and the inner product of two different SDFS's have been considered. The so-called squeezed-state excitations have been reviewed. The superposition of SDFS's are considered in two different states,  a pair of SDFS's and four-component  superposition. The definitions  and properties of these states have been introduced.





35
"The R-representation for the density..."
  • The R-representation for the density operator, which generalizes the work of  has been given.      The squeezing properties for these states have been discussed. The second-order correlation function   have been investigated numerically. We have analyzed the  quadrature component distributions for the SDFS's superposition state and have presented analytical and numerical results. Several moments have been calculated by using the  characteristic function.



36
"We have"
      • We have  obtained the phase distribution by two different ways :one of them is by Pegg-Barnett formalism, the second is by integration of the quasi-probability function over the radial variable. We have studied the phase properties of a superposition of pair and four  SDFS's . The resulting phase distributions are very useful and generalize results in the field of "coherent, squeezed, displaced Fock" states.


37