prev next front |1 |2 |3 |4 |5 |6 |7 |8 |9 |10 |11 |12 |13 |14 |15 |16 |review

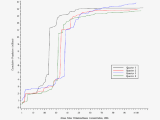
Cumulative frequency distribution of population with respect to mean Total Trihalomethane concentration for New York State-Richter EPHT Water Group

Go to Comment Form